
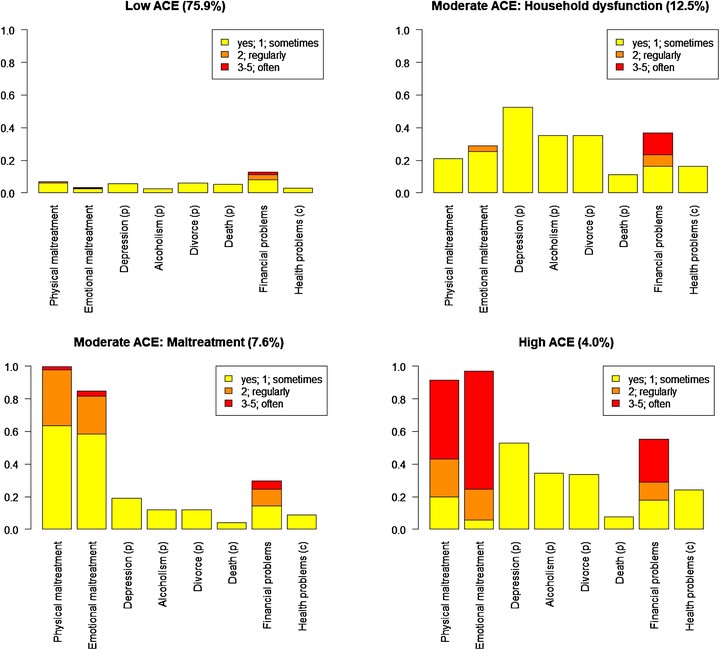
Although adverse childhood experiences (ACEs) are relatively common among children, there is limited knowledge on the co-occurrence of such experiences. The current study therefore investigates co-occurrence of childhood adversity in the Netherlands and whether specific clusters are more common among certain types of families.